磁铁的吸引力跟排斥力间的关系是怎么样的?这个话题我想很多朋友都很感兴趣,今天永磁铁厂家必威西蒙体育官网就来跟大家介绍。
当两个等距离得磁铁相互接触时,两个等距磁铁之间的引力比等距磁铁之间的斥力强5-10%,这是由于分子磁体在磁体中的排列,在一个磁体中,分子磁体是相互平行排列的,磁体分子排列越规则,磁体的强度就越高。
当两个不相等的磁极相互吸引时,一个磁体支持分子磁体在另一个磁体中的平行排列,这使两个磁体都更强一些。

然而,当两个相等的磁极互相排斥时,一个磁铁会干扰另一个磁铁中分子磁体的平行排列,这使得两个磁体都弱了一些。然而,如果你把它们拉开足够远,它们就会恢复原来的秩序,从而恢复原来的强度。
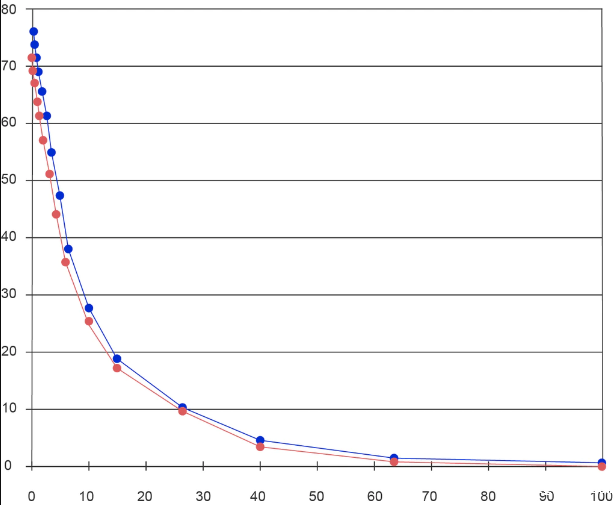
随着两个磁体之间距离的增加,分子磁体几乎不受另一个磁体的影响,这时引力几乎等于斥力(见下表)。
下图为大圆形磁铁D45*30MM实验数据,X轴为距离,Y轴为力,证实磁铁的吸引力(蓝色)比斥力(红色)稍强。当距离为4cm时,引力和斥力均为5kg。

以上就是关于磁铁的吸力跟斥力介绍,查看更多磁铁常见问题。
相关磁铁吸力文章;