在介绍如何计算磁通密度之前,首先需要定义什么是磁通密度,当我们谈到磁通密度时,我们指的是物理量,它表示磁场有多强,这决定了磁通量区域的密度。
计算磁通密度有一定的公式,为了表示磁通密度,我们用符号B来表示,要测量磁通密度,通常可以使用磁感应计(也称为磁场计或特斯拉计)来进行,其中10000高斯对应一特斯拉,即1T=10000gs。
如何计算磁通密度?
磁通密度通常是使用特殊软件来执行计算,避免错误。
下面是最常用的公式
如果只计算垂直于磁场磁力线的导体的磁通密度,则公式如下:

如前所述,B表示磁通密度,单位为牛顿/安培,“F”表示力,单位为牛顿,“I”表示电流,单位为安培,”L“表示导体长度,单位为米。
当然,可以从中导出更多公式,如以下示例所示:
块状磁铁:

这里Br表示剩磁场,“z”表示对称轴上距磁极表面的距离,“L”表示磁铁块的长度,“W”表示块的宽度,“D”表示块的厚度(或高度)。
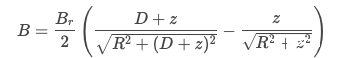
圆柱形磁铁:

在这种情况下,“Br”还表示剩磁场,“z”表示对称轴上距磁极一侧的距离,“L”表示圆柱体的厚度(或高度),“R”表示圆柱体直径的一半。
以上就是关于几种常见磁铁磁通密度计算方式,资料来源于网络综合。
我司必威西蒙体育官网是一家多年专注永磁体的源头厂家,可定制生产多种不同材质的磁铁产品,欢迎咨询。
类似文章小傅推荐;